KORELASI PEARSON

Senin, 11 April 2011

image KORELASI

1. Korelasi Pearson

Analisis korelasi person merupakan salah satu analisis uji statistik yang tergolong kedalam statistik parametrik. Analisis korelasi pearson mensyaratkan bahwa distribusi data normal dan variansi sama. Jika asumsi ini tidak terpenuhi sebaiknya digunakan analisis yang lain untuk menguji hipotesis yang bebentuk korelasional.

http://bahankuliahkesehatan.blogspot.com

Skala data yang menyertai analisis korelasional biasanya dalam bentuk interval atau rasio.

Analisis korelasi pearson mengisyaratkan atau digunakan untuk membuktikan hipotesis yang sifatnya hubungan.

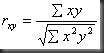
Rumus

clip_image004

Dimana

clip_image006= Korelasi antar variabel x dan y

X = (Xi – x)

Y = (Yi – Y)

clip_image008

2. Kasus Korelasi

Permasalahan yang sering terjadi dalam penelitian adalah bahwa peneliti melupakan persyaratan untuk mengunakan analisis pearson. Jika dalam suatu penelitian diperoleh bahwa distribusi data tidak normal dan variansi tidak sama maka digunakan analisis yang lebih sederhana yaitu analisis kendall’s tau atau analisis spearman.

Contoh kasus

Suatu penelitian dilakukan di di Puskesmas gamping Sleman terhadap sepuluh subjek penelitian untuk mengetahui ada tidak nya hubungan antara kebiasaan makan sambal dengan kejadian diare. berdasarkan hasil penelitian diperoleh hasil sebagai berikut:

No

Frekuensi makan sambal

Frekuensi kejadian diare

(x-µ)

X

(Y-µ)

y

X2

Y2

Xy

1

8

3

2

9

3

3

7

2

4

6

2

5

7

2

6

8

2

7

9

3

8

6

1

9

5

1

10

5

1

∑=70

µ =7

∑=20

µ=2

0

0

20

6

10

Data fiktif

Jawab

clip_image004[1]

clip_image010=0,9129

 

http://bahankuliahkesehatan.blogspot.com

0 komentar:

Posting Komentar

Ping your blog, website, or RSS feed for Free